How To Choose Between Multiple Offers

We are experienced record low inventory here in the Salt Lake Valley. That means that houses that are coming up for sale are often receiving multiple offers. While this is exciting as a home seller, it can also be daunting. Let's go over the different ways to handle multiple offers so that when they happen they will be less overwhelming. 

Essentially there are three different methods for handling multiple offers. As the seller of the property you are in control of which method is used in your situation. I have attached a copy of the Multiple Offer Disclosure  I provide to my clients when they are in this situation. It details the three options and their pros and cons. I will talk about them briefly below, but you can also click on the image on the form to enlarge and read it. 

The first option is to accept one of the offers and reject the others. This is a pretty straightforward one. There's a chance that the buyers that didn't know they were competing would have paid more than their original offer, but it does uncomplicate the process. And sometimes one of the offers you get is exactly what you want so you are okay to accept it. 

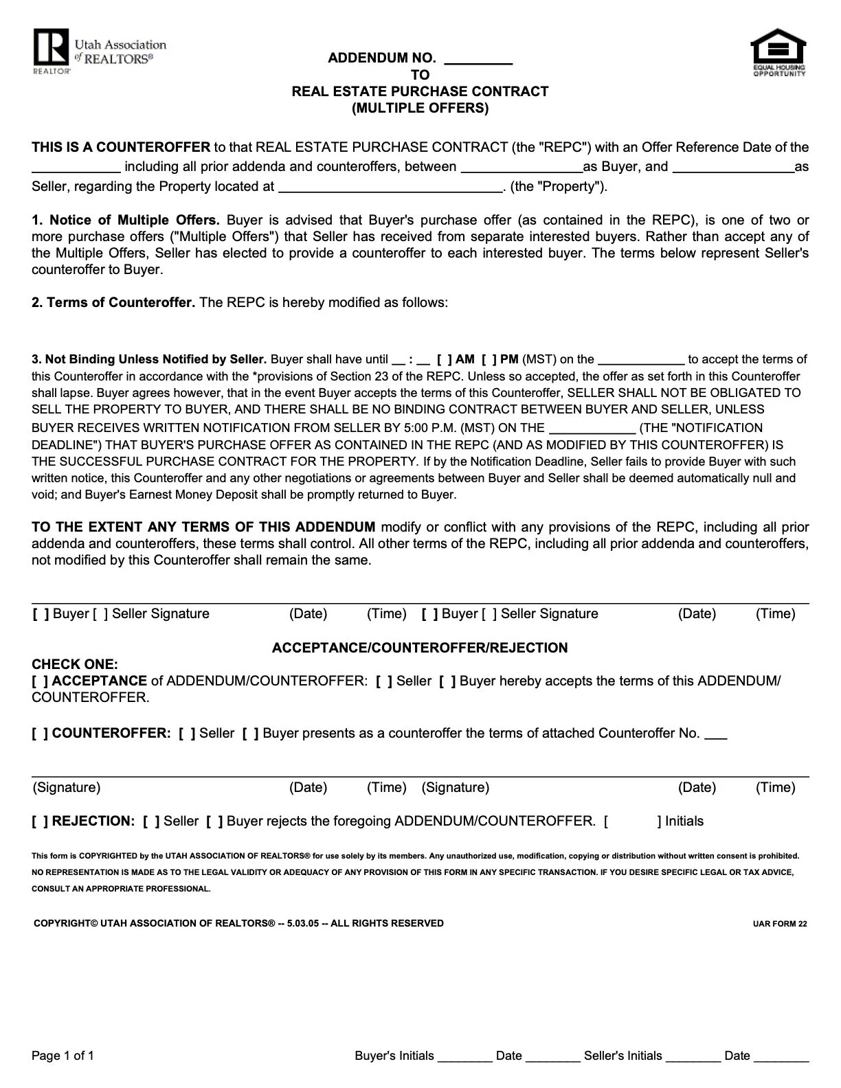
The second is to present counter offers to more than one of the buyers at the same time. When you do this there is a Multiple Offer Addendum  that you include with your counteroffers. This addendum states that if more than one of the buyers accepts your counteroffer you are not beholden to all those buyers. You get to choose which of the accepted counteroffers you want. See the form below.

The third option is probably the most commonly used. For this one you go back to each of the buyers and tell them that you want them to submit their highest and best offers by a set deadline. The buyers can choose to modify their current offers or keep them the same. After the deadline you choose which of the offers to accept. The possible downfall for this one is that some buyers may walk away because they don't like "bidding wars." When you choose this option the below attached Notice is used to tell the buyers of your intentions. 

Those are the three ways to begin to work through choosing between multiple offers. It's also important to remember that the sales prices is not the only factor to look at when making your choice. Down payment, loan qualifications, deadline dates, possession dates, closing cost credits and amount of earnest money can also work together to strengthen and weaken offers. 

Selling a house in this market is fun, exciting and a bit intimidating. Give me a call and I'll work with you through the process. 

Contact Melissa